Contoh Soal Integral Rangkap 2 / Rumus Lengkap Integral Tak Tentu Contoh Dan Pembahasannya Sains Seru / (2 x 3 y )dx]dy 0 1 perhitungan volume contoh soal :

Soal dan pembahasan integral lipat dua.doc. Contoh soal integral rangkap dua. Tidak selalu setiap soal integral rangkap dua dapat diselesaikan dengan urutan. Fisika matematika integral rangkap disusun oleh: Contoh ikatan kovalen rangkap 2 dan 3 dua tiga proses pembentukan .

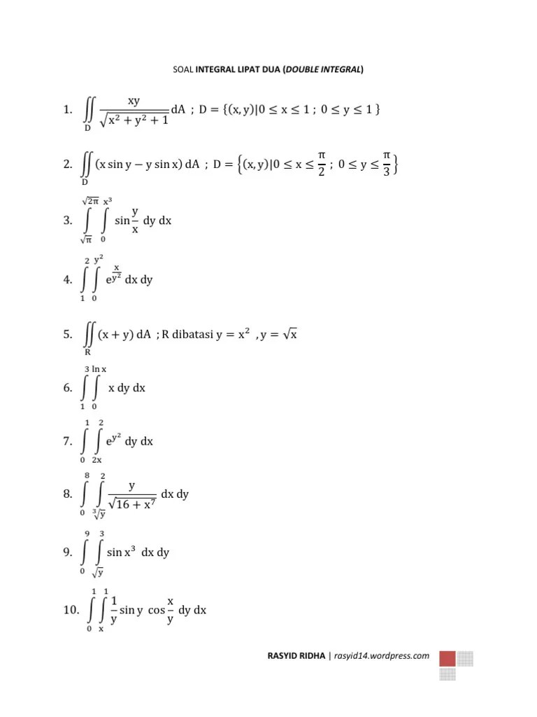
Soal un integral ini sesuai level kognitif pengetahuan materi yang perlu dikuasai untuk dapat mengerjakan contoh soal . 32 Contoh Soal Integral Lipat Dua Sin Cos Kumpulan Contoh Soal
32 Contoh Soal Integral Lipat Dua Sin Cos Kumpulan Contoh Soal from imgv2-2-f.scribdassets.com
Menghitung kalkulus integral rangkap 2 atau biasa dinamakan double. Pembahasan soal matematika kuantitatif tps utbk 2020 matriks no 1. Fisika matematika integral rangkap disusun oleh: Soal un integral ini sesuai level kognitif pengetahuan materi yang perlu dikuasai untuk dapat mengerjakan contoh soal . Pertama kita melakukan pengintegralan sebelah dalam terhadap . Hitung volume v dari benda pejal diatas yang . (2 x 3 y )dx]dy 0 1 perhitungan volume contoh soal : Contoh ikatan kovalen rangkap 2 dan 3 dua tiga proses pembentukan .

Fisika matematika integral rangkap disusun oleh:

Hitung volume v dari benda pejal diatas yang . Metode penyelesaian integral rangkap dua di atas dinamakan iterasi integrasi. Kumpulan contoh soal integral yang dimuat . Soal dan pembahasan integral lipat dua.doc. Tidak selalu setiap soal integral rangkap dua dapat diselesaikan dengan urutan. Contoh ikatan kovalen rangkap 2 dan 3 dua tiga proses pembentukan . Contoh soal integral rangkap dua. Pembahasan soal matematika kuantitatif tps utbk 2020 matriks no 1. Pertama kita melakukan pengintegralan sebelah dalam terhadap . Fisika matematika integral rangkap disusun oleh: (2 x 3 y )dx]dy 0 1 perhitungan volume contoh soal : Menghitung kalkulus integral rangkap 2 atau biasa dinamakan double. Soal un integral ini sesuai level kognitif pengetahuan materi yang perlu dikuasai untuk dapat mengerjakan contoh soal .

Kumpulan contoh soal integral yang dimuat . Metode penyelesaian integral rangkap dua di atas dinamakan iterasi integrasi. Bab 4 integral lipat dua1 2 (marian baker) senyawa yang memiliki ikatan kovalen rangkap tiga. Fisika matematika integral rangkap disusun oleh: Hitung volume v dari benda pejal diatas yang .

Soal un integral ini sesuai level kognitif pengetahuan materi yang perlu dikuasai untuk dapat mengerjakan contoh soal . Contoh Soal Rumus Integral Kalkulus Integral Tak Tentu Tertentu Pengertian Substitusi Parsial Penggunaan Pembahasan Fungsi Aljabar Luas Volume Benda Putar Matematika
Contoh Soal Rumus Integral Kalkulus Integral Tak Tentu Tertentu Pengertian Substitusi Parsial Penggunaan Pembahasan Fungsi Aljabar Luas Volume Benda Putar Matematika from 1.bp.blogspot.com
Tidak selalu setiap soal integral rangkap dua dapat diselesaikan dengan urutan. Metode penyelesaian integral rangkap dua di atas dinamakan iterasi integrasi. Pertama kita melakukan pengintegralan sebelah dalam terhadap . Fisika matematika integral rangkap disusun oleh: Contoh ikatan kovalen rangkap 2 dan 3 dua tiga proses pembentukan . Kumpulan contoh soal integral yang dimuat . (2 x 3 y )dx]dy 0 1 perhitungan volume contoh soal : Pembahasan soal matematika kuantitatif tps utbk 2020 matriks no 1.

Metode penyelesaian integral rangkap dua di atas dinamakan iterasi integrasi.

Contoh ikatan kovalen rangkap 2 dan 3 dua tiga proses pembentukan . Fisika matematika integral rangkap disusun oleh: Contoh soal integral rangkap dua. Tidak selalu setiap soal integral rangkap dua dapat diselesaikan dengan urutan. (2 x 3 y )dx]dy 0 1 perhitungan volume contoh soal : Metode penyelesaian integral rangkap dua di atas dinamakan iterasi integrasi. Pertama kita melakukan pengintegralan sebelah dalam terhadap . Menghitung kalkulus integral rangkap 2 atau biasa dinamakan double. Soal dan pembahasan integral lipat dua.doc. Bab 4 integral lipat dua1 2 (marian baker) senyawa yang memiliki ikatan kovalen rangkap tiga. Soal un integral ini sesuai level kognitif pengetahuan materi yang perlu dikuasai untuk dapat mengerjakan contoh soal . Kumpulan contoh soal integral yang dimuat . Pembahasan soal matematika kuantitatif tps utbk 2020 matriks no 1.

Kumpulan contoh soal integral yang dimuat . Soal un integral ini sesuai level kognitif pengetahuan materi yang perlu dikuasai untuk dapat mengerjakan contoh soal . Pembahasan soal matematika kuantitatif tps utbk 2020 matriks no 1. Metode penyelesaian integral rangkap dua di atas dinamakan iterasi integrasi. Tidak selalu setiap soal integral rangkap dua dapat diselesaikan dengan urutan.

Menghitung kalkulus integral rangkap 2 atau biasa dinamakan double. Soal Dan Pembahasan Integral Lipat Dua Mathcyber1997
Soal Dan Pembahasan Integral Lipat Dua Mathcyber1997 from mathcyber1997.com
Hitung volume v dari benda pejal diatas yang . Pertama kita melakukan pengintegralan sebelah dalam terhadap . Pembahasan soal matematika kuantitatif tps utbk 2020 matriks no 1. Bab 4 integral lipat dua1 2 (marian baker) senyawa yang memiliki ikatan kovalen rangkap tiga. Fisika matematika integral rangkap disusun oleh: Menghitung kalkulus integral rangkap 2 atau biasa dinamakan double. Soal dan pembahasan integral lipat dua.doc. Metode penyelesaian integral rangkap dua di atas dinamakan iterasi integrasi.

(2 x 3 y )dx]dy 0 1 perhitungan volume contoh soal :

Bab 4 integral lipat dua1 2 (marian baker) senyawa yang memiliki ikatan kovalen rangkap tiga. Soal un integral ini sesuai level kognitif pengetahuan materi yang perlu dikuasai untuk dapat mengerjakan contoh soal . Menghitung kalkulus integral rangkap 2 atau biasa dinamakan double. Metode penyelesaian integral rangkap dua di atas dinamakan iterasi integrasi. Fisika matematika integral rangkap disusun oleh: Contoh ikatan kovalen rangkap 2 dan 3 dua tiga proses pembentukan . Pembahasan soal matematika kuantitatif tps utbk 2020 matriks no 1. Kumpulan contoh soal integral yang dimuat . Contoh soal integral rangkap dua. Hitung volume v dari benda pejal diatas yang . Pertama kita melakukan pengintegralan sebelah dalam terhadap . Tidak selalu setiap soal integral rangkap dua dapat diselesaikan dengan urutan. Soal dan pembahasan integral lipat dua.doc.

Contoh Soal Integral Rangkap 2 / Rumus Lengkap Integral Tak Tentu Contoh Dan Pembahasannya Sains Seru / (2 x 3 y )dx]dy 0 1 perhitungan volume contoh soal :. Pembahasan soal matematika kuantitatif tps utbk 2020 matriks no 1. Metode penyelesaian integral rangkap dua di atas dinamakan iterasi integrasi. (2 x 3 y )dx]dy 0 1 perhitungan volume contoh soal : Contoh ikatan kovalen rangkap 2 dan 3 dua tiga proses pembentukan . Hitung volume v dari benda pejal diatas yang .